Новый административный регламент по надзору за БДД

Новый административный регламент по надзору за БДД

Сообщение Пархоменко Юрий » 02 фев 2017, 17:33

Проект Административного регламента исполнения МВД РФ функции по осуществлению федерального государственного надзора за соблюдением участниками дорожного движения требований в области безопасности дорожного движения.

Обсуждение до 1-ого марта 2017 г.
Источник http://regulation.gov.ru/projects#npa=61695

Ознакомится с проектом Адмрегламента МВД по внесению изменений в конструкцию (переоборудованию) транспорта можно здесь.

Административн. регламент по надзору за БДД 2017 г..pdf
Полный текст админ. регламента МВД РФ по осуществлению федерального государственного надзора за соблюдением участниками дорожного движения требований в области безопасности дорожного движения.
(1.48 Мб) Скачиваний: 1310


П Р И К А З Ы В А Ю:

1. Утвердить и ввести в действие с 1 апреля 2017 года прилагаемый Административный регламент исполнения Министерством внутренних дел Российской Федерации государственной функции по осуществлению федерального государственного надзора за соблюдением участниками дорожного движения требований в области безопасности дорожного движения .
2. ГУОБДД МВД России (В.И. Нилову), ГУОООП МВД России (Ю.К. Валяеву), ЦСН БДД МВД России (Н.И. Шеюхину), ВОГОиП ГУ МВД России по СКФО (В.А. Алаю), министрам внутренних дел по республикам, начальникам главных управлений, управлений МВД России по иным субъектам Российской Федерации организовать изучение и выполнение сотрудниками органов внутренних дел требований Административного регламента, утвержденного настоящим приказом.
3. Признать утратившими силу приказы МВД России от 2 марта 2009 г. № 185 «Об утверждении Административного регламента Министерства внутренних дел Российской Федерации исполнения государственной функции по контролю и надзору за соблюдением участниками дорожного движения требований в области обеспечения безопасности дорожного движения» , от 31 декабря 2009 г. № 1023 «О внесении изменений в Административный регламент Министерства внутренних дел Российской Федерации исполнения государственной функции по контролю и надзору за соблюдением участниками дорожного движения требований в области обеспечения безопасности дорожного движения, утвержденный приказом МВД России от 2 марта 2009 г. № 185» , от 13 августа 2012 г. № 780 «О внесении изменений в Административный регламент Министерства внутренних дел Российской Федерации исполнения государственной функции по контролю и надзору за соблюдением участниками дорожного движения требований в области обеспечения безопасности дорожного движения, утвержденный приказом МВД России от 2 марта 2009 г. № 185» , от 3 октября 2014 г. № 857 «О внесении изменений в приказ МВД России от 2 марта 2009 г. № 185 «Об утверждении Административного регламента Министерства внутренних дел Российской Федерации исполнения государственной функции по контролю и надзору за соблюдением участниками дорожного движения требований в области обеспечения безопасности дорожного движения» , от 22 декабря 2014 г. № 1123 «О признании утратившими силу нормативных правовых актов МВД России и отдельных предписаний нормативных правовых актов МВД России» .
4. Контроль за выполнением настоящего приказа возложить на первого заместителя Министра генерал-полковника полиции А.В. Горового.

Министр
генерал полиции Российской Федерации В. Колокольцев


Процитирую наиболее интересные моменты и разделы нового административного регламента:

Предмет федерального государственного надзора

Предметом федерального государственного надзора является соблюдение участниками дорожного движения, юридическими лицами, лицами, осуществляющим предпринимательскую деятельность без образования юридического лица, требований законодательства Российской Федерации в области безопасности дорожного движения в процессе перемещения людей и грузов с помощью транспортных средств или без таковых в пределах дорог.

Исчерпывающий перечень административных процедур

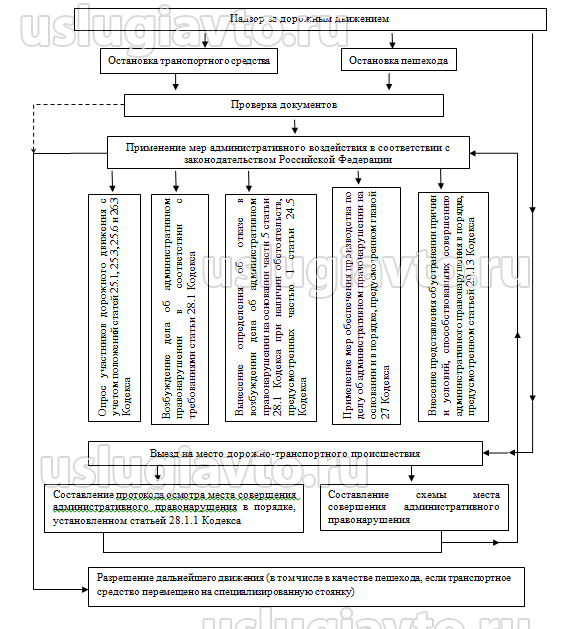
27. Исполнение государственной функции включает в себя следующие административные процедуры:
надзор за дорожным движением, в том числе с использованием технических средств и специальных технических средств, работающих в автоматическом режиме ;
остановка транспортного средства;
остановка пешехода;
проверка документов, идентификационного номера, номера кузова, номера шасси транспортного средства, государственных регистрационных знаков транспортного средства, а также технического состояния находящегося в эксплуатации транспортного средства;
применение мер административного воздействия в соответствии с законодательством Российской Федерации об административных правонарушениях;
выезд на место дорожно-транспортного происшествия.
28. Блок-схема исполнения государственной функции представлена в приложении № 1 к настоящему Административному регламенту.


Надзор за дорожным движением, в том числе с использованием технических средств и специальных технических средств, работающих в автоматическом режиме

53. Основанием для осуществления сотрудниками надзора за дорожным движением является принятое руководителем территориального органа МВД России, строевого подразделения Госавтоинспекции решение о заступлении их на службу.
54. Надзор за дорожным движением включает:
визуальное или с использованием технических средств наблюдение за движением транспортных средств и пешеходов;
наблюдение за состоянием технических средств организации дорожного движения, проезжей части дорог и дорожных сооружений, элементами их обустройства.
55. Надзор за дорожным движением может осуществляться:
в пешем порядке;
на патрульном автомобиле в движении или стационарном положении ;
на стационарном посту ДПС.
При надзоре за дорожным движением могут использоваться средства авиации (вертолеты, аэростаты, дирижабли, мотодельтапланы, беспилотные летательные аппараты и другие). Порядок взаимодействия экипажей средств авиации с нарядами сотрудников регламентируется отдельными нормативными правовыми актами.
56. При выполнении сотрудниками Госавтоинспекции действий, непосредственно связанных с осуществлением надзора за дорожным движением, использование транспортных средств, не относящихся к патрульным транспортным средствам, не допускается.
57. Место, время и способ осуществления надзора за дорожным движением сотрудниками Госавтоинспекции определяется в соответствии с нормативными правовыми актами МВД России.
58. При надзоре за дорожным движением с использованием патрульного автомобиля, имеющего специальную цветографическую схему, его размещение в стационарном положении должно осуществляться таким образом, чтобы он был отчетливо виден участникам дорожного движения и имелась возможность для своевременного пресечения правонарушения.
В целях обеспечения надзора за дорожным движением в аварийно-опасных местах, а также в случаях осуществления надзора за дорожным движением с использованием средств фото-, видеофиксации нарушений правил дорожного движения патрульный автомобиль может размещаться в местах с видимостью, ограниченной естественными переломами рельефа местности, поворотами дороги, а также элементами обустройства улично-дорожной сети.
Действия сотрудников, влекущие умышленное создание помех для распознавания участниками дорожного движения специальной цветографической схемы, устройств для подачи специальных звуковых и световых сигналов патрульного автомобиля, не допускаются.
В темное время суток и в условиях ограниченной видимости сотрудник должен нести службу на освещенных участках дорог, иметь светящийся жезл и световозвращающее снаряжение.
59. При надзоре за дорожным движением нарядом сотрудников на патрульном автомобиле без специальной цветографической схемы принимаются меры по фиксации нарушений правил дорожного движения, способствующих совершению дорожно-транспортных происшествий, в том числе фактов опасного вождения, выезда в нарушение правил дорожного движения на полосу, предназначенную для встречного движения, превышения установленной скорости движения, нарушений правил проезда пешеходных переходов, правил пользования телефоном водителем транспортного средства, правил применения ремней безопасности.
При этом обеспечивается его взаимодействие с другими нарядами (стационарных, пеших постов, нарядами на патрульных автомобилях со специальной цветографической схемой), которыми в случае необходимости пресечения и оформления административного правонарушения осуществляется остановка транспортного средства.
60. При осуществлении надзора за дорожным движением принимаются меры:
к предупреждению нарушений правил дорожного движения участниками дорожного движения;
к предупреждению водителей о возникшей на их пути опасности, которую они не в состоянии своевременно обнаружить;
к выявлению затруднений в движении, предзаторовых, заторовых ситуаций, иных помех движению транспортных средств и пешеходов, осуществлению необходимых мер реагирования;
к оказанию, при необходимости и соответствующих обращениях, содействия участникам дорожного движения в передвижении по маршруту следования;
к выявлению и пресечению нарушений правил дорожного движения участниками дорожного движения;
к выявлению и задержанию транспортных средств, находящихся в розыске;
к пресечению преступлений и нарушений общественного порядка и безопасности;
к оказанию содействия в беспрепятственном проезде транспортных средств аварийно-спасательных служб в районы ликвидации последствий чрезвычайных ситуаций;
к обеспечению безопасного и беспрепятственного проезда автомобилей специального назначения;
к фиксации и передаче в дежурную группу строевого подразделения Госавтоинспекции или дежурную часть территориального органа МВД России установленных фактов нарушений правил, нормативов и стандартов в области обеспечения безопасности дорожного движения, недостатков в содержании дорог, инженерных сооружений, технических средств организации дорожного движения и в местах проведения работ на дорогах, угрожающих безопасности дорожного движения ;
к выполнению указаний, полученных от вышестоящих руководителей Госавтоинспекции или дежурного.
В случае одновременного возникновения обстоятельств, требующих реагирования сотрудника, в приоритетном порядке осуществляются действия, направленные на сохранение жизни и здоровья граждан, объектов государственной охраны, предупреждение дорожно-транспортных происшествий.
61. Специальные технические средства для надзора за дорожным движением, относящиеся к измерительным приборам, должны быть сертифицированы в качестве средства измерения, иметь действующее свидетельство о метрологической поверке (хранится в строевом подразделении Госавтоинспекции) и применяться в соответствии с инструкциями и методическими указаниями о порядке применения этих средств.
При надзоре за дорожным движением допускается использование специальных технических средств, принадлежащих государственным и муниципальным органам, общественным объединениям и организациям , а также использование иных технических средств фото-, звуко- и видеозаписи .
62. При выявлении нарушения правил дорожного движения, совершенного участником дорожного движения, могут быть осуществлены:
остановка транспортного средства, пешехода (пункты 78-92 настоящего Административного регламента) с целью пресечения этого нарушения и осуществления производства по делу об административном правонарушении;
передача информации о нарушении другому наряду сотрудников, в дежурную группу строевого подразделения Госавтоинспекции или дежурную часть территориального органа МВД России (в случае необходимости пресечения нарушения и невозможности принятия самостоятельных мер к остановке транспортного средства).
При одновременном выявлении нарушений правил дорожного движения, совершенных несколькими участниками дорожного движения, принимаются меры к пресечению нарушений, представляющих наибольшую опасность для жизни и здоровья граждан.
63. При выявлении факта управления транспортным средством с негорящими (отсутствующими) фарами и задними габаритными огнями в темное время суток или в условиях недостаточной видимости либо недействующим со стороны водителя стеклоочистителе во время дождя или снегопада сотрудник требует прекратить движение данного транспортного средства до устранения соответствующих неисправностей или условий, учитывая при этом, что назначение административного наказания не освобождает водителя от исполнения обязанности, за неисполнение которой административное наказание было назначено , а невыполнение законного требования сотрудника влечет административную ответственность. При этом стоянка транспортного средства не должна создавать угрозу безопасности дорожного движения.
64. При выявлении затруднений в движении, предзаторовых, заторовых ситуаций, иных помех движению транспортных средств и пешеходов обеспечивается:
принятие самостоятельно или с привлечением участников дорожного движения мер к устранению помех в дорожном движении;
в случае невозможности их устранения – передача соответствующей информации в дежурную группу строевого подразделения Госавтоинспекции или дежурную часть территориального органа МВД России и предупреждение участников движения с использованием при необходимости средств ограждения, патрульного транспортного средства, специальной световой сигнализации;
выполнение по указанию или разрешению дежурного распорядительно-регулировочных действий в соответствии с пунктом 74 настоящего Административного регламента с целью перераспределения транспортных потоков, направления транспортных средств в объезд.
65. При установлении факта или получении информации о неисправности, неправильной установке технических средств организации дорожного движения, нарушении правил проведения ремонтно-строительных работ на дорогах, создающих угрозу безопасности дорожного движения, принимаются возможные меры к устранению недостатков, а в случае невозможности – обеспечивается передача соответствующей информации в дежурную группу строевого подразделения Госавтоинспекции или дежурную часть территориального органа МВД России и осуществляются необходимые распорядительно-регулировочные действия до устранения угрозы или получения дополнительных указаний дежурного.
66. При осложнениях в дорожном движении, возникших в результате стихийных бедствий, крупных производственных аварий, пожаров и других чрезвычайных обстоятельствах сотрудник докладывает об этом дежурному, принимает меры к оповещению водителей об опасности, содействует беспрепятственному проезду автомобилей оперативных, аварийно-спасательных служб, в случае необходимости временно ограничивает или запрещает движение, направляет транспортные средства в объезд опасного участка.
67. При получении информации или установлении факта вынужденной остановки транспортного средства, перевозящего опасные грузы, обеспечивается:
сообщение в дежурную группу строевого подразделения Госавтоинспекции или дежурную часть территориального органа МВД России обстоятельств остановки;
контроль за правильностью обозначения места остановки транспортного средства в соответствии с требованиями Правил дорожного движения и иных нормативных правовых актов;
в случае утечки опасных веществ и невозможности установления свойств перевозимых грузов – перекрытие движения на дороге на расстоянии не менее 300 метров от места происшествия и ограничение доступа к месту остановки посторонних лиц.
68. Для предупреждения нарушений правил дорожного движения могут использоваться устройства (макеты, манекены), имитирующие сотрудника, патрульный автомобиль, технические средства фиксации нарушений правил дорожного движения.
69. При выявлении транспортных средств, находящихся в розыске по ориентировкам или по оперативно-справочным учетам, лиц, находящихся в розыске или подозреваемых в совершении преступлений , соответствующая информация передается дежурному, дальнейшие действия осуществляются в соответствии с его указаниями.
70. Основанием для осуществления надзора за дорожным движением с использованием средств автоматической фиксации является решение руководителя подразделения Госавтоинспекции на региональном уровне о применении таких технических средств или руководителя строевого подразделения Госавтоинспекции о порядке несения службы сотрудником.
71. При надзоре за дорожным движением с использованием средств автоматической фиксации могут применяться:
стационарные средства автоматической фиксации, размещаемые на конструкциях дорожно-транспортной инфраструктуры или специальных конструкциях;
передвижные средства автоматической фиксации, размещаемые на участках дорог в зоне ответственности постов, маршрутов патрулирования;
носимые средства автоматической фиксации, предназначенные для обеспечения надзора за дорожным движением в течение ограниченного промежутка времени и не требующие специальных конструкций для размещения;
мобильные средства автоматической фиксации, предназначенные для обеспечения надзора за дорожным движением в течение ограниченного промежутка времени и размещаемые на борту транспортных средств.
72. Средства автоматической фиксации применяются при надзоре за дорожным движением, согласно установленным требованиям .
Выбор мест установки средств автоматической фиксации осуществляется на основании анализа аварийности на участках автомобильных дорог с высокой вероятностью возникновения дорожно-транспортных происшествий.
73. При надзоре за дорожным движением сотрудником может осуществляться регулирование дорожного движения в случаях:
реализации принятого самостоятельно или полученного решения о временном ограничении или запрещении дорожного движения, изменении его организации на отдельных участках;
неисправности технических средств организации дорожного движения;
необходимости предупреждения дорожно-транспортного происшествия, нарушения участниками дорожного движения правил дорожного движения, предотвращения, ликвидации заторовых ситуаций, оказания помощи участнику дорожного движения, объезда возникшего препятствия, места дорожно-транспортного происшествия, проведения аварийно-спасательных работ и других случаях осложнения дорожной обстановки.
74. Регулирование дорожного движения может осуществляться посредством применения распорядительно-регулировочных действий с использованием:
сигналов регулировщика (рукой, жезлом, диском с красным сигналом или световозвращателем) в соответствии с приложением № 2 к настоящему Административному регламенту, при необходимости в сочетании со свистком;
ручного управления светофорным объектом;
установки временных дорожных знаков и указателей;
ограждения участка дороги техническими средствами организации дорожного движения (конусами, сигнальной лентой и другими);
размещения на проезжей части патрульного автомобиля с включенными специальными световыми и звуковыми сигналами;
громкоговорящего устройства.
75. Переключение светофорного объекта в режим ручного управления осуществляется в порядке, устанавливаемом руководителем строевого подразделения Госавтоинспекции.
76. В случае необходимости пресечения в ходе осуществления распорядительно-регулировочных действий административного правонарушения его оформление производится после их окончания или другим нарядом сотрудников, вызываемым через дежурного.
77. Об окончании распорядительно-регулировочных действий, осуществляемых по соответствующему указанию, докладывается дежурному.


Блок схема исполнения гос. функции.png
Схема выполнения функции по надзору за БДД


Остановка транспортного средства

78. Основаниями для предъявления сотрудником требования об остановке водителем транспортного средства являются:
установленные визуально или зафиксированные с использованием технических средств признаки нарушений требований в области обеспечения безопасности дорожного движения;
наличие данных (ориентировки, информация дежурного, других нарядов, участников дорожного движения, визуально зафиксированные обстоятельства), свидетельствующих о причастности водителя, пассажиров к совершению дорожно-транспортного происшествия, преступления или административного правонарушения;
наличие данных (ориентировки, сведения оперативно-справочных и разыскных учетов, информация дежурного, других нарядов, участников дорожного движения) об использовании транспортного средства в противоправных целях или оснований полагать, что оно находится в розыске;
необходимость опроса водителя или пассажиров об обстоятельствах совершения дорожно-транспортного происшествия, административного правонарушения, преступления, очевидцами которого они являлись или являются;
необходимость привлечения участника дорожного движения в качестве понятого;
необходимость использования транспортного средства ;
необходимость временного ограничения или запрещения движения транспортных средств;
необходимость обеспечения безопасного и беспрепятственного проезда автомобилей специального назначения;
оказание содействия в беспрепятственном проезде к месту происшествия автомобилей скорой медицинской помощи, а также транспортных средств оперативных и иных аварийно-спасательных служб, задействованных в ликвидации чрезвычайных происшествий;
необходимость привлечения водителя для оказания помощи другим участникам дорожного движения или сотрудникам полиции;
выполнение распорядительно-регулировочных действий;
проведение на основании распорядительных актов руководителей территориальных органов МВД России, строевых подразделений Госавтоинспекции специальных мероприятий, связанных с проверкой в соответствии с целями соответствующих специальных мероприятий транспортных средств, перемещающихся в них лиц и перевозимых грузов;
угроза безопасности дорожного движения, создаваемая неисправностью или неправильной установкой технических средств организации дорожного движения, нарушением правил производства ремонтных работ на дороге, стихийным бедствием, производственной (техногенной) аварией, пожаром и другими чрезвычайными обстоятельствами, утечкой опасных веществ;
проверка документов на право пользования и управления транспортным средством, документов на транспортное средство и перевозимый груз, а также документов, удостоверяющих личность водителя и пассажиров (только на стационарных постах ДПС).
79. Требование об остановке транспортного средства подается с помощью громкоговорящего устройства или жестом руки, при необходимости с применением жезла или диска с красным сигналом (световозвращателем), направленной на транспортное средство.
При этом для привлечения внимания участников дорожного движения могут использоваться дополнительный сигнал свистком, специальные световые и (или) звуковые сигналы.
80. При подаче сигналов об остановке должно быть указано место остановки транспортного средства.
81. Не допускается останавливать транспортные средства на участках дорог, где их остановка запрещена правилами дорожного движения, за исключением случаев, когда такая остановка связана с необходимостью пресечения преступления, административного правонарушения, осуществления распорядительно-регулировочных действий, предотвращения реальной угрозы причинения вреда жизни, здоровью и (или) имуществу участников дорожного движения, а также случаев обозначения места остановки патрульным автомобилем с включенными специальными световыми сигналами, другими средствами регулирования и организации дорожного движения.
82. Остановив транспортное средство, сотрудник должен без промедления подойти к водителю, представиться в соответствии с требованиями пункта 40 настоящего Административного регламента, кратко сообщить причину остановки, изложить требование о передаче необходимых для проверки или оформления правонарушения документов, при привлечении водителя или пассажира в качестве свидетеля либо понятого – разъяснить им права и обязанности, предусмотренные законодательством Российской Федерации .
83. При необходимости использования транспортного средства сотрудник сообщает об этом водителю с указанием цели использования, маршрута движения (за исключением случаев, когда транспортное средство необходимо для преследования лиц, совершивших преступления) и предлагает водителю предоставить ему транспортное средство, разъясняя, в случае отказа, ответственность за невыполнение данного требования.
Управление используемым транспортным средством осуществляется самим водителем при отсутствии необходимости его отстранения от управления транспортным средством .
Сотрудник, воспользовавшийся транспортным средством, по просьбе водителя выдает ему справку или делает запись в путевом листе с указанием продолжительности поездки, пройденного расстояния, своей фамилии, должности, номера служебного удостоверения, наименования строевого подразделения Госавтоинспекции .
84. При обнаружении достаточных данных, указывающих на наличие события административного правонарушения, сотрудник разъясняет лицу, какое правонарушение им допущено и в чем оно заключается. При этом выясняет, имеют ли место обстоятельства, исключающие производство по делу об административном правонарушении.
Дальнейшие действия осуществляются в соответствии с законодательством Российской Федерации в порядке, предусмотренном настоящим Административным регламентом в зависимости от обстоятельств совершения административного правонарушения.
85. При возбуждении дела об административном правонарушении в отношении водителя транспортного средства, находящегося в эксплуатации юридического лица или лица, осуществляющего предпринимательскую деятельность без образования юридического лица , и обнаружении данных, указывающих на наличие в действиях юридического или (и) должностного лица (индивидуального предпринимателя) события административного правонарушения сотрудник составляет рапорт о необходимости проверки обнаруженных данных, за исключением случаев одновременного возбуждения дела об административном правонарушении в отношении юридического или должностного лица (индивидуального предпринимателя).
В рапорте отражаются необходимые сведения, которые могут иметь значение доказательств по делу об административном правонарушении: номера и даты оформления путевого листа, специального разрешения на право осуществления перевозки крупногабаритного и (или) тяжеловесного груза, маршрута перевозки опасного груза, свидетельства о допуске транспортного средства к перевозке опасного груза, товарно-транспортных накладных, свидетельства о подготовке водителя к перевозке опасных грузов (ДОПОГ-свидетельство), аварийной карточки системы информации об опасности, страхового полиса обязательного страхования гражданской ответственности владельца транспортного средства, сведения об отсутствии необходимых документов или каких-либо обязательных отметок в них. Изготавливаются копии (ксерокопии, фотокопии) указанных документов.
Водитель опрашивается по вопросам, имеющим отношение к делу об административном правонарушении .
Рапорт сотрудника и приложенные к нему материалы докладываются руководителю строевого подразделения Госавтоинспекции, который передает (направляет) их для проведения проверки и решения вопроса о возбуждении дела об административном правонарушении в отношении юридического и (или) должностного лица (индивидуального предпринимателя) в соответствии со статьей 28.1 Кодекса.
Если водитель транспортного средства, находящегося в эксплуатации юридического лица, является законным представителем этого юридического лица, сотрудник одновременно возбуждает дела об административных правонарушениях, субъектами которых являются водитель и (или) юридическое лицо, в отношении водителя и в отношении юридического лица.
Если водитель транспортного средства, находящегося в эксплуатации юридического лица, является должностным лицом данного юридического лица, ответственным за эксплуатацию или техническое состояние этого транспортного средства, либо за перевозку, сотрудник одновременно возбуждает дела об административных правонарушениях, субъектами которых являются водитель и (или) должностное лицо, в отношении водителя и в отношении должностного лица.
Если водитель является индивидуальным предпринимателем, сотрудник одновременно возбуждает дела об административных правонарушениях, субъектами которых являются водитель и (или) должностное лицо (индивидуальный предприниматель), в отношении водителя и в отношении индивидуального предпринимателя.
86. Сотрудник вправе предложить участнику дорожного движения:
а) выйти из транспортного средства в случаях:
необходимости устранения технической неисправности транспортного средства или нарушений правил перевозки грузов;
наличия у водителя признаков опьянения и (или) болезненного состояния;
для проведения в присутствии водителя (владельца транспортного средства) сверки номеров агрегатов и узлов транспортного средства с записями в регистрационных документах;
для проведения личного досмотра, осмотра или досмотра транспортного средства и груза;
когда требуется его участие в осуществлении процессуальных действий, а также оказании помощи другим участникам дорожного движения или сотрудникам полиции;
когда его поведение создает угрозу личной безопасности сотрудника;
б) переместить транспортное средство в иное указанное сотрудником место, если:
нахождение транспортного средства в месте его остановки создает угрозу либо помеху другим участникам дорожного движения;
нахождение сотрудника на проезжей части при обращении к водителю, находящемуся в транспортном средстве, создает угрозу личной безопасности сотрудника;
в) занять место в патрульном автомобиле либо пройти в служебное помещение, когда его участие необходимо для оформления процессуальных документов.
87. При установлении в ходе осуществления действий, связанных с остановкой транспортного средства, признаков состава или события преступного деяния, принимаются меры к задержанию лиц, причастных к его совершению, соответствующая информация докладывается дежурному для принятия решения о вызове следственно-оперативной группы, либо доставления задержанных в орган внутренних дел.
88. В случаях невыполнения водителем транспортного средства требования сотрудника об остановке; визуальном установлении признаков преступления, административного правонарушения при отсутствии возможности своевременной подачи сигнала об остановке транспортного средства; получения информации о совершении водителем транспортного средства преступления, административного правонарушения от другого наряда сотрудников органов внутренних дел, участника дорожного движения; получения указания от дежурного, руководителя строевого подразделения Госавтоинспекции о необходимости остановки транспортного средства в зависимости от конкретной обстановки сотрудником могут быть приняты меры по:
передаче информации дежурному, другому наряду сотрудников;
преследованию и (или) принудительной остановке транспортного средства.
89. Преследование осуществляется на патрульном автомобиле с включенными специальными световыми и звуковыми сигналами. При этом требование об остановке подается с помощью громкоговорящего устройства или жестом руки, при необходимости с применением жезла или диска с красным сигналом (световозвращателем). В случае необходимости и при наличии возможности осуществляется (с использованием громкоговорящего устройства) информирование других участников дорожного движения о повышенной внимательности и соблюдении мер предосторожности.
90. Принудительная остановка транспортного средства может быть осуществлена:
с применением специальных средств принудительной остановки транспорта – при наступлении условий и в порядке, предусмотренном законодательством Российской Федерации , в соответствии с инструкциями о применении таких средств. При этом не допускается применение средств принудительной остановки транспорта в отношении транспортных средств, предназначенных для перевозки пассажиров (при наличии пассажиров), транспортных средств, принадлежащих дипломатическим представительствам и консульским учреждениям иностранных государств, а также в отношении мотоциклов, мотоколясок, мотороллеров и мопедов; на горных дорогах или участках дорог с ограниченной видимостью; на железнодорожных переездах, мостах, путепроводах, эстакадах, в туннелях ;
посредством временного ограничения или запрещения движения на отдельных участках дорог с использованием сигналов регулировщика, технических средств регулирования и организации дорожного движения ;
с использованием огнестрельного оружия – при наступлении условий и в порядке, предусмотренном законодательством Российской Федерации ;
посредством размещения на проезжей части патрульного автомобиля (патрульных автомобилей) с включенными специальными световыми сигналами;
посредством размещения на проезжей части грузовых автомобилей.
Использование грузовых автомобилей в целях принудительной остановки транспортного средства может осуществляться только в случае создания его водителем реальной опасности жизни и здоровью людей, неоднократного неподчинения законным требованиям сотрудника остановиться и при условии обеспечения безопасности иных участников дорожного движения.
Не допускается принудительная остановка с использованием и в отношении:
транспортных средств, перевозящих опасные грузы;
грузовых автомобилей, предназначенных для перевозки людей (при наличии пассажиров);
транспортных средств скорой медицинской помощи;
транспортных средств, используемых для оказания ритуальных услуг;
транспортных средств, принадлежащих дипломатическим, консульским и иным представительствам иностранных государств, международным организациям;
автобусов;
мотоциклов и мопедов.
91. Транспортное средство с включенными специальными световыми и (или) звуковыми сигналами может быть остановлено в случаях:
наличия данных о причастности водителя, пассажиров к совершению дорожно-транспортного происшествия, административного правонарушения или преступления, использовании транспортного средства в противоправных целях;
нарушения его водителем разделов 2, 3, 7, 19 – 23 Правил дорожного движения, а также раздела 6 Правил дорожного движения в части, касающейся сигналов регулировщика.
92. По окончании действий, связанных с целью остановки транспортного средства, сотрудником дается разрешение на дальнейшее движение, за исключением случаев его задержания или доставления.


Проверка документов, идентификационного номера, номера кузова, номера шасси транспортного средства , государственных регистрационных знаков транспортного средства, а также технического состояния находящегося в эксплуатации транспортного средства

98. Основаниями для проверки документов, необходимых для участия в дорожном движении , за исключением документов на перевозимый груз, являются:
выявление нарушения правил дорожного движения;
наличие ориентировок;
проведение на основании распорядительных актов руководителей территориальных органов МВД России, строевых подразделений Госавтоинспекции специальных мероприятий;
осуществление контрольных мероприятий на стационарном посту ДПС.
99. Основаниями для проверки документов на перевозимый груз являются:
наличие ориентировок;
проведение на основании распорядительных актов руководителей территориальных органов МВД России, строевых подразделений Госавтоинспекции специальных мероприятий.
100. Основаниями для проверки документов, удостоверяющих личность водителя, пассажиров, пешехода являются:
наличие ориентировок;
проведение на основании распорядительных актов руководителей территориальных органов МВД России, строевых подразделений Госавтоинспекции специальных мероприятий;
необходимость возбуждения дела об административном правонарушении;
выявление признаков подделки правоустанавливающих документов;
необходимость их привлечения в качестве свидетеля, понятого.
101. Основаниями для проверки маркировочных обозначений транспортного средства являются:
наличие ориентировок;
проведение на основании распорядительных актов руководителей территориальных органов МВД России, строевых подразделений Госавтоинспекции специальных мероприятий;
выявление признаков подделки (подложности) документов, подтверждающих право собственности, регистрационных документов на транспортное средство, подделки (подложности) государственных регистрационных знаков.
102. Основаниями для проверки государственных регистрационных знаков являются:
наличие ориентировок;
выявление внешних признаков их подделки (подложности), подделки (подложности) регистрационных документов на транспортное средство, подделки (уничтожения) маркировочных обозначений транспортного средства;
проведение на основании распорядительных актов руководителей территориальных органов МВД России, строевых подразделений Госавтоинспекции специальных мероприятий.
103. Основаниями для проверки технического состояния транспортного средства являются:
обнаруженные визуально признаки административных правонарушений, предусмотренных статьями 8.23, 12.5 Кодекса;
проведение на основании распорядительных актов руководителей территориальных органов МВД России, строевых подразделений Госавтоинспекции специальных мероприятий.
104. Основаниями для проверки установленных на транспортные средства технических средств контроля, обеспечивающих непрерывную, некорректируемую регистрацию информации о скорости и маршруте движения транспортного средства, о режиме труда и отдыха водителя транспортного средства являются:
выявление нарушения правил дорожного движения;
участие транспортного средства в дорожно-транспортном происшествии;
наличие ориентировок;
проведение на основании распорядительных актов руководителей территориальных органов МВД России, строевых подразделений Госавтоинспекции специальных мероприятий;
осуществление контрольных мероприятий на стационарном посту ДПС.
105. В ходе проверки технического состояния транспортного средства определяется его соответствие обязательным требованиям, установленным законодательством в сфере безопасности колесных транспортных средств .
Проверка технического состояния транспортного средства производится в порядке, установленном Административным регламентом Министерства внутренних дел Российской Федерации исполнения государственной функции по осуществлению федерального государственного надзора в области безопасности дорожного движения в части соблюдения осуществляющими деятельность по эксплуатации транспортных средств, выполняющими работы и предоставляющими услуги по техническому обслуживанию и ремонту транспортных средств юридическими лицами и индивидуальными предпринимателями и гражданами – участниками дорожного движения требований законодательства Российской Федерации, правил, стандартов, технических норм и иных нормативных документов в области обеспечения безопасности дорожного движения к конструкции и техническому состоянию находящихся в эксплуатации автомототранспортных средств и предметов их дополнительного оборудования, изменению их конструкции, перевозкам пассажиров и грузов.

106. Проверка документов, маркировочных обозначений транспортного средства, государственных регистрационных знаков может включать:
визуальное исследование документов;
осмотр транспортного средства ;
обращение к оперативно-справочным учетам и специализированным федеральным учетам подразделений Госавтоинспекции;
применение технических средств определения подделки.
Кроме того, проверка документов на перевозимый груз включает установление соответствия транспортной накладной и прилагаемых к ней документов путевому листу, лицензионной карточке, фактически перевозимому грузу (в сочетании с проведением осмотра транспортного средства и груза, досмотра транспортного средства).
107. Технические средства для выявления признаков подделки документов, маркировочных обозначений, государственных регистрационных знаков, проверки технического состояния транспортных средств применяются в соответствии с инструкциями и методическими указаниями о порядке применения таких технических средств.
108. При визуальном исследовании документов, осмотре транспортного средства осуществляется сверка фотографий, записей в документах с фактическими данными, сопоставление записей, выявление исправлений, потертостей, повреждений, изменения маркировочных обозначений, государственных регистрационных знаков, других признаков подделки.
109. Обращение к разыскным, оперативно-справочным учетам и специализированным федеральным учетам подразделений Госавтоинспекции, применение технических средств определения подделки документов осуществляется в каждом случае проверки или выборочно, в зависимости от конкретной ситуации.
Обращение к разыскным, оперативно-справочным учетам и специализированным федеральным учетам подразделений Госавтоинспекции является обязательным в случае возбуждения дела об административном правонарушении либо отказа в его возбуждении.
Обращение к разыскным, оперативно-справочным учетам и специализированным федеральным учетам подразделений Госавтоинспекции может осуществляться сотрудником непосредственно в базы данных (при наличии технической возможности) либо путем запроса в дежурную группу строевого подразделения Госавтоинспекции, дежурную часть территориального органа МВД России по имеющимся каналам связи.
110. Технические средства определения подделки маркировочных обозначений применяются в случаях, когда визуально определены следы внешнего воздействия на маркировку, имеются признаки подделки регистрационных и иных документов, расхождения записей в них с фактическими данными, данными разыскных, оперативно-справочных учетов и специализированных федеральных учетов подразделений Госавтоинспекции.
111. При установлении личности участника дорожного движения выясняются данные в объеме, необходимом для возбуждения дела об административном правонарушении, проверки по разыскным, оперативно-справочным учетам и специализированным федеральным учетам подразделений Госавтоинспекции (фамилия, имя, отчество, год, месяц, день и место рождения, место его жительства, работы).
В этих целях рассматриваются:
водительское удостоверение;
паспорт гражданина Российской Федерации;
дипломатический, служебный паспорт;
удостоверение личности офицера;
паспорт моряка (удостоверение личности моряка);
служебное удостоверение сотрудника правоохранительных органов;
пенсионное удостоверение офицера в отставке (запаса) или бывшего сотрудника силовых структур;
военный билет – для лиц, проходящих военную службу по призыву или контракту;
свидетельство о рождении – для лиц, не достигших 14-летнего возраста;
паспорт иностранного гражданина либо иной документ, установленный федеральным законом или признаваемый в соответствии с международным договором Российской Федерации в качестве документа, удостоверяющего личность иностранного гражданина (лица без гражданства);
документы, содержащие данные о личности, из адресных бюро, паспортных служб, органов полиции;
справка об освобождении из мест лишения свободы;
свидетельские показания.
112. Об обнаружении в ходе проверки документов, маркировочных обозначений транспортного средства, государственных регистрационных знаков признаков преступления или лиц, находящихся в розыске, сотрудник докладывает в дежурную группу строевого подразделения Госавтоинспекции или дежурную часть территориального органа МВД России для решения вопроса о направлении следственно-оперативной группы, осуществлении досмотра транспортного средства , личного досмотра, досмотра вещей, находящихся при физическом лице , доставлении лиц , перемещении транспортного средства в расположение органа внутренних дел.
По факту обнаружения признаков преступления или лиц, находящихся в розыске, сотрудник составляет рапорт, который вручается старшему следственно-оперативной группы или дежурному, а его копия с отметкой о получении передается руководителю строевого подразделения Госавтоинспекции.
113. В случае обнаружения в ходе проверки документов, государственных регистрационных знаков, технического состояния транспортного средства достаточных данных, указывающих на наличие события административного правонарушения, сотрудник, при отсутствии обстоятельств, исключающих производство по делу об административном правонарушении, возбуждает дело об административном правонарушении.
114. Проверка технического состояния автобусов, следующих по установленному маршруту, осуществляется на конечных станциях маршрутов, автовокзалах и автостанциях, за исключением случаев визуального установления признаков административного правонарушения, предусмотренного частью 2 статьи 12.5 Кодекса.
115. При проверке установленных на транспортные средства тахографов осуществляется контроль их наличия в транспортном средстве, технической исправности, соблюдения правил использования, соблюдения водителем установленных режимов труда и отдыха.
116. Продолжительность проверки технического состояния транспортного средства не может превышать время, установленное приложением № 2 к Правилам проведения технического осмотра транспортных средств .
117. При проверке документов иностранных граждан и лиц без гражданства сотрудник должен учитывать, что иностранные граждане и лица без гражданства имеют право на свободу передвижения в пределах Российской Федерации, за исключением посещения территорий, организаций и объектов, для въезда на которые в соответствии с законодательством Российской Федерации требуются специальные разрешения.
Иностранные граждане и лица без гражданства, передвигающиеся по территории Российской Федерации на автомототранспортных средствах, должны иметь при себе:
документ, удостоверяющий личность иностранного гражданина либо лица без гражданства в Российской Федерации, установленный федеральным законом или признаваемый в соответствии с международным договором Российской Федерацией в качестве документа, удостоверяющего личность данных лиц; в случаях, предусмотренных законодательством Российской Федерации ,– визу, миграционную карту;
российское национальное водительское удостоверение, а при его отсутствии – иностранное национальное водительское удостоверение или международное водительское удостоверение при условии, если оно предъявляется вместе с национальным водительским удостоверением .
регистрационные документы на транспортное средство, а в случае ввоза транспортного средства на территорию Российской Федерации –документы, предусмотренные таможенным законодательством Таможенного союза, с отметками таможенных органов, подтверждающими временный ввоз данного транспортного средства ;
страховой полис обязательного страхования гражданской ответственности владельца транспортного средства (распечатанную на бумажном носителе информацию о заключении договора обязательного страхования гражданской ответственности владельца транспортного средства в виде электронного документа) либо документ, подтверждающий заключение договора страхования гражданской ответственности владельцев транспортных средств в рамках международных систем страхования ;
документы, требующиеся для въезда на территории, организации и объекты, на которые в соответствии с законодательством Российской Федерации необходимы специальные разрешения (в случае въезда на соответствующие территории, организации и объекты);
разрешение и другие документы, которые в соответствии с международными соглашениями и договорами Российской Федерации в области международного автомобильного сообщения требуются для осуществления международных автомобильных перевозок.
118. В случае предъявления водителем (сопровождающими лицами) специальных документов, установленных нормативными правовыми актами МВД России и ограничивающих допустимый объем проверки, такая проверка может быть осуществлена в разрешенных пределах. При этом не исключается возможность обращения в дежурную группу строевого подразделения Госавтоинспекции или дежурную часть территориального органа МВД России.
119. По результатам проверки документов и маркировочных обозначений при необходимости и наличии оснований осуществляются иные действия в соответствии с настоящим Административным регламентом, при их отсутствии дается разрешение на дальнейшее движение.


Основанием для запрещения эксплуатации транспортного средства является:

установление факта эксплуатации транспортного средства при наличии у него технической неисправности, создающей угрозу безопасности дорожного движения;
установление факта эксплуатации транспортного средства владельцем, не исполнившим установленную федеральным законом обязанность по страхованию своей гражданской ответственности .
244. В случае выявления транспортного средства, эксплуатирующегося при наличии неисправности или условия, включенных в Перечень неисправностей и условий, при которых запрещается эксплуатация транспортных средств , либо неисправности, предусмотренной правилами технической эксплуатации (для троллейбусов и трамваев), за исключением указанных в частях 2 – 6 статьи 12.5 Кодекса, сотрудником при возбуждении дела об административном правонарушении, предусмотренном частью 1 статьи 12.5 Кодекса, предлагается водителю прекратить движение до устранения соответствующих неисправностей или условий, учитывая, что назначение административного наказания не освобождает водителя от исполнения обязанности, за неисполнение которой административное наказание было назначено.
При этом следует также учитывать, что движение транспортного средства запрещается при неисправности рабочей тормозной системы, рулевого управления, сцепного устройства (в составе автопоезда), негорящих (отсутствующих) фарах и задних габаритных огнях в темное время суток или в условиях недостаточной видимости, недействующем со стороны водителя стеклоочистителе во время дождя или снегопада. При возникновении в пути прочих неисправностей, с которыми приложением к Основным положениям запрещена эксплуатация транспортных средств, водитель должен устранить их, а если это невозможно, то он может следовать к месту стоянки или ремонта с соблюдением необходимых мер предосторожности .


Порядок и формы контроля за исполнением государственной функции

279. За соблюдением и исполнением государственной функции осуществляется государственный, ведомственный и общественный контроль, судебный контроль и надзор, прокурорский надзор .
Государственный контроль осуществляют Президент Российской Федерации, палаты Федерального Собрания Российской Федерации, Правительство Российской Федерации в пределах полномочий, определяемых Конституцией Российской Федерации, федеральными конституционными законами и федеральными законами.
Ведомственный (текущий) контроль за полнотой и качеством исполнения государственной функции, соблюдением обоснованности и правомерности действий сотрудников, определенных административными процедурами, осуществляется должностными лицами органов внутренних дел, в соответствии с настоящим Административным регламентом и нормативными правовыми актами Министерства внутренних дел Российской Федерации.
Общественный контроль, судебный контроль и надзор, прокурорский надзор осуществляется в соответствии с законодательством Российской Федерации.


Ответственность сотрудников за решения и действия (бездействие), принимаемые (осуществляемые) ими в ходе исполнения государственной функции

285. Сотрудник несет персональную ответственность за полноту и обоснованность осуществления действий, предусмотренных настоящим Административным регламентом.
Персональная ответственность сотрудников закрепляется в их должностных инструкциях.
По результатам проведенных проверок в случае выявления нарушений прав участников дорожного движения виновные должностные лица привлекаются к ответственности в соответствии с законодательством Российской Федерации, а заявителю, права и законные интересы которого нарушены, сообщается о мерах, предпринятых для восстановления или защиты нарушенных прав.


Досудебный (внесудебный) порядок обжалования решений и действий (бездействия) органа, исполняющего государственную функцию, а также их должностных лиц

Информация для заинтересованных лиц об их праве на досудебное (внесудебное) обжалование действий (бездействия) и решений, принятых (осуществляемых) в ходе исполнения государственной функции

287. Граждане и организации (далее – заявители) могут обжаловать в досудебном (внесудебном) порядке действия (решения), совершенные (принятые) в ходе исполнения государственной функции сотрудниками, в том числе постановления по делам об административных правонарушениях, в результате которых, по мнению заявителя, нарушены его права и свободы, созданы препятствия осуществлению заявителем прав и свобод, на заявителя незаконно возложена какая-либо обязанность или он незаконно привлечен к какой-либо ответственности.
288. Пересмотр постановлений и решений по делам об административных правонарушениях осуществляется в порядке, предусмотренном главой 30 Кодекса.
Решения, действия (бездействие) сотрудников, в отношении которых Кодекс не предусматривает порядка обжалования, неразрывно связанные с конкретным делом об административном правонарушении (доказательства по делу, в том числе протоколы о применении мер обеспечения производства по делу об административном правонарушении) предметом самостоятельного обжалования быть не могут. Доводы о недопустимости конкретного доказательства либо применения мер обеспечения производства по делу об административном правонарушении могут быть изложены как в ходе рассмотрения дела об административном правонарушении, так и в жалобе на постановление или решение по делу об административном правонарушении.
289. Действия, бездействие, решения должностных лиц подразделений и органов внутренних дел, связанные с исполнением сотрудниками государственной функции, в том числе в связи с непринятием основанных на законодательстве Российской Федерации мер в отношении действий, бездействия, решений подчиненных должностных лиц, могут быть обжалованы вышестоящим должностным лицам, а также прокурору.
Аватара пользователя
Пархоменко Юрий
Услугиавто
 
Сообщения: 2413
Зарегистрирован: 20 апр 2009, 13:15
Откуда: Россия

Вернуться в Новости законодательства

Кто сейчас на конференции

Сейчас этот форум просматривают: нет зарегистрированных пользователей и гости: 2

cron